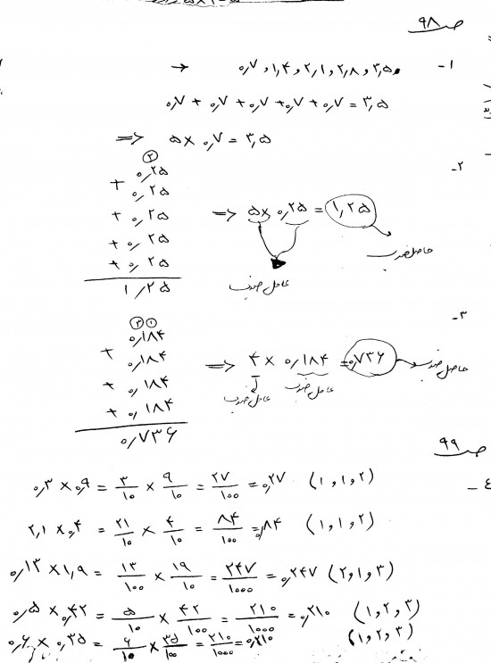
پاسخنامه ی صفحات 98 و 99 کتاب ریاضی

نظرات خوانندگان
تا کنون هیچ نظری درباره این مطلب ثبت نشده است
نظر جدید
نام*
ایمیل
نظر*

متن تصویر*